Anti-Corruption Commission (ACC) Exam Result 2026 has been published. Anti-Corruption Commission Exam Result 2026 has been published by the authority. Dudok Exam Result 2026 is good news for job seekers in Bangladesh. All information about the Anti-Corruption Commission Deputy Assistant Director Exam Result 2026 is available below. The Anti-Corruption Commission (ACC) is a government organization in Bangladesh.
The Anti-Corruption Commission (ACC) has officially released the exam results for the recruitment of various posts including Constable, Assistant Director (AD), and Court Inspector for the year 2026. Candidates who participated in the written and MCQ exams can now check their results and download the Merit List PDF.
In this article, we provide the direct download link for the ACC Exam Result 2026 and step-by-step instructions on how to check your status.
Anti-Corruption Commission (ACC) Exam Result 2026.
Organization Name: Anti-Corruption Commission (ACC)
Post Name and Vacancy:
1. Assistant Director – 20
2. Deputy Assistant Director – 50
3. Court Inspector – 03
4. Assistant Inspector – 10
5. Accountant – 01
6. Cashier – 01
Total Vacancy: 85
MCQ Exam Date: 28 November 2025 and 03, 09 January 2026
Exam Time: 10:00 AM to 11:00 AM
Exam Type: Preliminary (MCQ Type)
Preliminary (MCQ Type) Exam Marks: 100 Marks
Assistant Inspector Preliminary (MCQ Type) Exam Total Candidates: 15,015
Court Inspector Preliminary (MCQ Type) Exam Total Candidates: 1,159
Deputy Assistant Director Preliminary (MCQ Type) Exam Total Candidates: 99,609
Assistant Director Preliminary (MCQ Type) Exam Total Candidates: 41,071
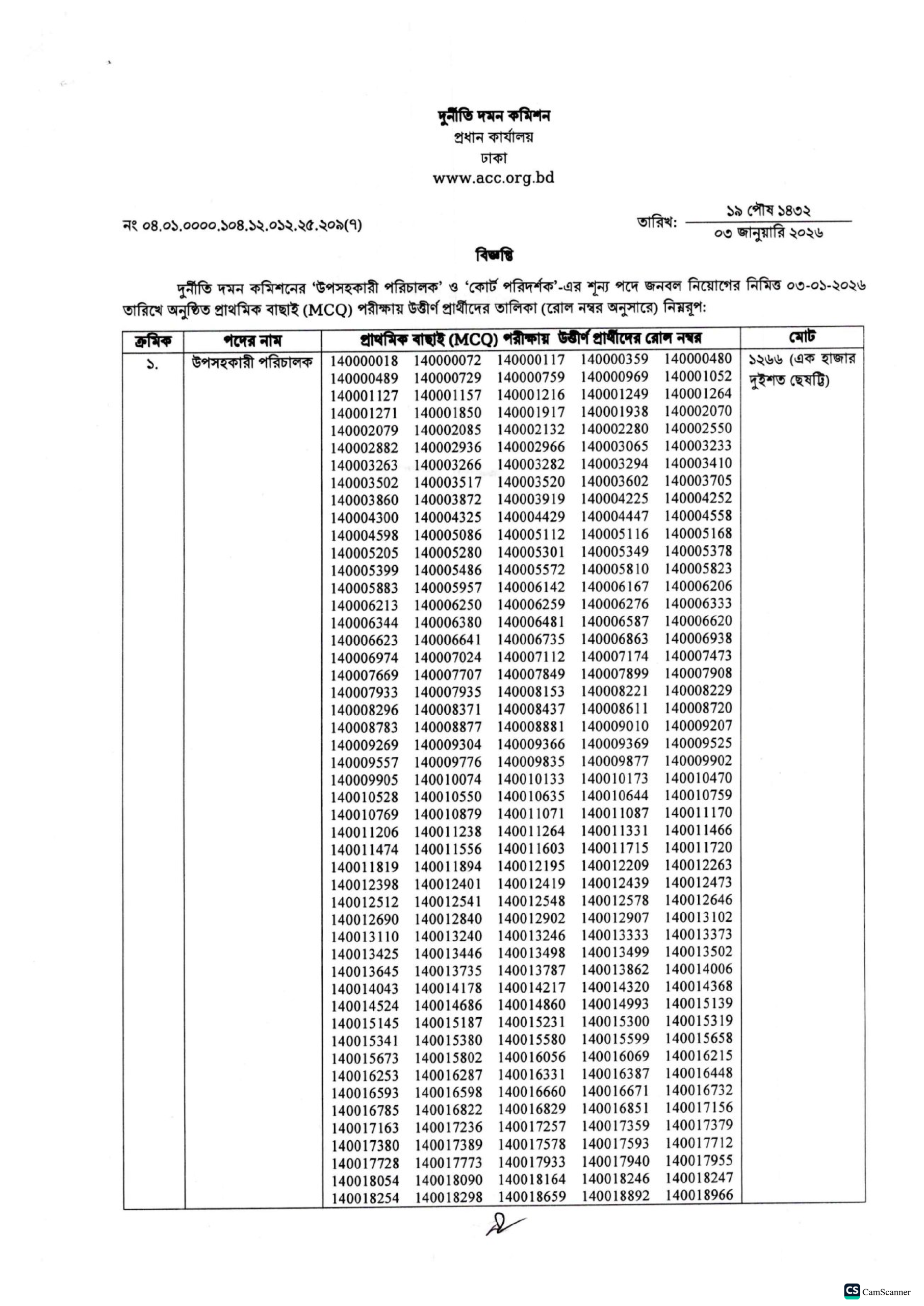
See/Download Anti-Corruption Commission (ACC) Exam Result Notice 2026 from the images below:
Deputy Assistant Director MCQ Exam Result Notice:


Anti-Corruption Commission (ACC) Exam Result 2026
So now check the Anti-Corruption Commission (ACC) Exam Result 2026 given below. There are offered various position. So If you think your educational qualification and required experiences are match with any of the jobs position then don’t late applying. To apply the jobs To apply correctly please read the Anti-Corruption Commission (ACC) Exam Result 2026 given below. Then open the desired jobs applying link. Then read the application form carefully. If you think you understand clearly the jobs applying form then start filling carefully. But never mistake filling your name, birth date and others personal information otherwise application may cancelled. Also please inform your nearest friends about the Anti-Corruption Commission (ACC) Exam Result 2026.